UltraProbe "Probe" Anodes by Farwest Corrosion

- Through-wall Impressed Current Anodes to Protect Internal Structure Surfaces installation to protect the internal surfaces of a structure, such as a condenser water box, process tank, pressure vessel, or piping.
-
Description


"Stinger" anode without insulating support shield. "Scepter" anode with insulating support shield.
Farwest UltraProbe Series impressed current probe anodes are an effective solution when there is a need to protect the internal surfaces of a structure, such as a condenser water box, process tank, pressure vessel, intake / discharge piping, or similar. Available in a wide variety of sizes, materials and configurations, these probe anodes allow through-wall installation of the anode from the exterior of the structure.Anode Materials
The anode element is available in a number of material choices including:
- Platinized niobium*
- Platinized titanium*
- Mixed metal oxide (MMO)**
* Platinum thickness can vary from 50 to 300 microinches.
Physical Considerations
Depending on the probe anode application, diameter of the anode, flow rates and other considerations, probe anodes may or may not require the use of a non-metallic support shield. This shield is designed to provide structural support to the anode rod and to provide current shielding properties. For instance, a 0.750” diameter anode may not need a support shield, whereas a 0.375” diameter anode may need additional mechanical support.
Farwest offers two anode model configurations, as follows:
- The “Stinger” anode, which does not include an insulating support shield. If required, a heat shrink tube can be added to the anode rod to deactivate a portion of the anode.
- The “Scepter” anode, which does include an insulating support shield. The insulating shield can be either Nylon or Delrin.
-
Current Outputs
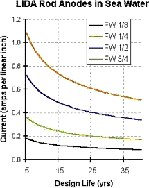
Current output ratings vary depending on a number of factors. These include anode material selection, anode diameter, active length, electrolyte properties, temperature, flow rates, and required design life. As a guideline, the following graphs provide projected service life of a platinized niobium anode with 200 microinches of platinum.


The following graphs provide projected service life of a Lida MMO anode.


-
Typical Anode Configuration

Anode Mounting Configurations
Placement of each anode depends on a number of factors including internal current requirements, physical obstructions, flow rates, etc. Installation options include direct insertion through threaded weld-on tank fittings, flanged nozzles or other similar entry configurations. Once installed in the appropriate location, a single wire is routed from the anode to a cathodic protection rectifier.

"Stinger" anode mounted to a drilled blind flange.
-
How to Order
Following are two ordering guides for “Stinger” and “Scepter” UltraProbe Series anodes. In addition, custom variations are available upon request. Farwest can also design and custom build probe anodes to meet your needs. Please contact our sales staff for assistance.
Build a model number in this format: STG-PN-4-10-8-MS-G. This is a "Stinger" platinum niobium anode, 0.500" diameter, 200 microinches of platinum, 10" active length, 8" inactive length, with an electroplated mild steel mounting fitting and a GUAB condulet. Does not include an insulating support shield.
Anode Model
STG
SCP"Stinger" anode without insulating support shield
"Scepter" anode with insulating support shield (specify Nylon or Delrin)Anode Material
PN
PT
MMOPlatinized niobium with copper core
Platinized titanium
Mixed Metal Oxide (platinum thickness does not apply to MMO anodes)Anode Diameter, Platinum Thickness in Micro Inches, Fitting Size
Diameter in inches
(0.500" is default)Platinum
micro-inchesFitting Size
for "Stinger"Fitting Size
for "Scepter"2
2X
3
3X
4
4X
6
6X0.250"
0.250"
0.375"
0.375"
0.500"
0.500"
0.750"
0.750"100
200
150
300
200
400
300
6000.500" NPT
0.500" NPT
0.750" NPT
0.750" NPT
0.750" NPT
0.750" NPT
1.000" NPT
1.000" NPT0.750" NPT
0.750" NPT
1.000" NPT
1.000" NPT
1.000" NPT
1.000" NPT
1.250" NPT
1.250" NPTActive Anode Length
Specify length of active anode in inches (portion of anode discharging current) Inactive Shield Length
Specify length of inactive anode in inches. Specify shield material for SCP (Nylon or Delrin). There is no shield for STG. Mounting Fitting Material
MS
SS
BRElectroplated mild steel (black)
Stainless steel
BrassCondulet Type
G
L
OGUAB type condulet
LB type condulet
Other (specify)Custom Needs
Z
Customer to specify